流程图

泳道图怎么画?快速绘制泳道流程图操作方法分享

泳道图是什么?泳道图就是一种UML活动图,通过横纵线来表述部门职能和岗位,将企业公司的人事关系进行划分,让数据更加清晰明亮。泳道图因为是将活动组织用线框分为不同区域,形状类似泳道,所以叫做泳道图。泳道图的制作方法十分简单,通过亿图图示以下几个步骤,即可轻松绘制出一幅专业实用的泳道图。 ...

数据流程图怎么做?画数据流程图的软件有什么?

数据流程图是什么呢?显然,数据流程图(Data Flow Diagram, DFD)是流程图的一种,也是可视化信息流常用的方法,它能够图像化地展现众多的系统需求,告诉我们信息是怎么进入和离开系统,以及信息改变的缘由、信息存储的位置等。让我们用亿图图示绘制吧 ...

过程流程图怎么做?画流程图的操作步骤讲解

过程流程图就是通过用特定的符号来表达实际的过程图表,用来检查实际的流程当中是否存在有需要改动的因素。过程流程图是由椭圆形符号表示的开始或者结束、矩形符号表示的内容、菱形符号表示的判定还有各种箭头和线条组成的。绘制过程流程图十分简单,只需要跟着下面的步骤就可以快速地绘制出一幅专业的过程流程图。 ...

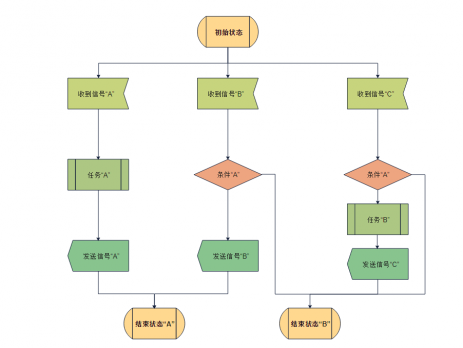
ns流程图用什么软件做?免费的NS盒图流程图制作软件

流程图是由一些特定意义的图形、流程线及简要的文字说明构成,用来清晰明确地表示程序的运行过程。随着流程图的不断发展,人们发现流程线不一定是必需的,1973年美国学者因此提出了一种不带有流程线的流程图形式,算法的每一步都用一个矩形框来描述。让我们通过以下亿图图示几个步骤,即可轻松绘制出一幅专业的NS流程图。 ...

工作流程图怎么画?流程图设计超详细教程

工作流程图属于流程图中的一种,它是通过一些符号来记录全部工作事项。工作流程图可以用于描述工作的顺序流向,能够清晰地展示工作中的步骤在整个系统中的位置和对应关系。可以通过软件来绘制工作流程图,推荐使用亿图图示软件或亿图在线,只需要4个步骤即可完成。 ...

产品流程图怎么画?手把手教你画出标准流程图

众所周知,流程是一系列逻辑关系(包括因果关系,时间顺序,必要条件,输入和输出条件)。 产品经理必须在提出要求之前理清这些逻辑关系,在理清关系的同时,可以用图形的形式呈现逻辑关系,因为它是一个图。产品流程图的制作方法十分简单,通过亿图图示以下几个步骤,即可轻松绘制出一幅专业实用的产品流程图。 ...

工艺流程图用什么软件做?简单易上手的流程图工具

工艺流程图是用国际通用的特定符号来表示工艺制作过程当中的工作或者化学反应的过程图表。工艺流程图是生产车间的准备工作的依据,也是管理人员用来指导生产车间的工作和工人的操作,方便管理和计划车间的生产工作,以及对产品的分析。工艺流程图的绘制十分简单,只需要跟着下面这5个步骤就能够轻轻松松完成一幅专业的工艺流程图。 ...

项目流程图怎么画?流程图制作步骤详解,新手必备

项目流程图是清晰地展示项目计划中各个环节的流程图图示,主要用于项目策划和监督进度。项目流程图这种图示方法具有直观描述性、简洁性、可操作性和指导性。项目流程图同一般流程图一样,都包含圆角矩形、矩形、菱形、箭头等绘图元素。让我们用亿图图示轻松几步,就能轻松绘制出一幅专业的项目流程图。 ...

程序流程图怎么做?免费使用的流程图制作软件

程序流程图是一种常用的流程图类型。它是一种用特定图形符号,外加文字说明构成的图示。程序流程图的主要结构分为处理框、判断框、起止框、连接点和连接线。程序流程图可以用图形化的方式描述整个处理过程,十分简便!让我们使用亿图图示软件,4个步骤完成程序流程图。 ...

业务流程图怎么做?画业务流程图的软件有什么?

业务流程图是一种常见的流程图,它是由流程线条、文字和几何图框组成的。业务流程图可以用于说明在某些前提下,发生某种动作可以带来某种结果。业务流程图可以用手绘,也可以用计算机软件制作。比如我们可以使用亿图图示软件来绘制业务流程图,可以通过以下5个步骤。 ...